Housing affordability and mental health

How do trajectories of housing affordability affect mental health?

By Jen Dykxhoorn in Common mental disorders Inequality Social determinants of health Trajectory modelling UK

July 12, 2022

Westard Ho! homes

Figure 1: Westard Ho! homes

Background

With costs of living at a historic high, there are many families in the UK struggling to cover their basic needs of housing, food, and energy. Housing costs, in particular, have risen so the proportion of families facing affordable housing has also increased. While it seems apparent that housing and financial stress can impact mental health, longitudinal evidence is limited.

Research question

What is the longitudinal relationship between housing affordability and mental health?

How much is “too much”? What is “affordable” housing?

Spending less than 30% of household income on housing is considered affordable, and all those who must spend more than 30% of their income on housing can be said to be facing housing affordability problems.

What did we do?

Using data from Understanding Society, a survey which follows UK households over time, we looked at trajectories of housing affordability problems over 10 years (2009-2019). We classified people by trajectory of housing affordability.

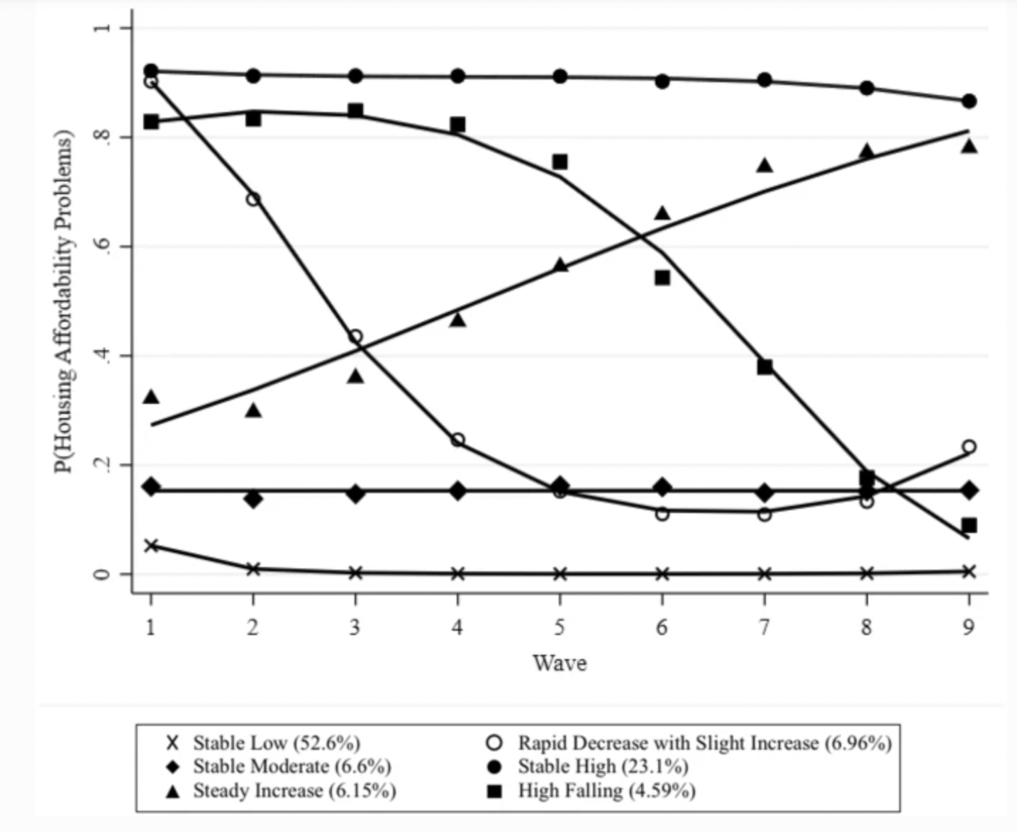
Six trajectory groups of housing affordability

Figure 2: Six trajectory groups of housing affordability

What did we find?

Compared to the “stable low” group (which were not exposed to housing affordability problems), all other groups had significantly worse mental health at follow-up. Unsurprisingly, the group with stable high exposure to housing affordability problems had poor mental health outcomes. The other group with poor mental health outcomes was the “high falling” (the group which had experienced a period of housing affordability problems, but this had reduced over time).

What does this mean?

We found that exposure to housing affordability problems is associated with poor mental health outcomes, even in the absence of more recent problems.

Read full-text article on Social Psychiatry and Psychiatric Epidemiology.

Behind the research

This research was led by Kate Dotsikas, one of our pre-doctoral fellows. She has since gone on to start her PhD at the Sorbonne and I have no doubt that we will continue to see exciting epi from her!

Posted on:
July 12, 2022
Length:
2 minute read, 319 words
Categories:
Common mental disorders Inequality Social determinants of health Trajectory modelling UK
See Also: